时间:2016-08-24
2016年的里约奥运会此刻正激烈的进行
无论是微博热门话题还是微信大号推文
都在为广大观众们讲述着里约奥运会上的种种
尤其是那一股泥石流里的“洪荒之力”
直接为我们的傅园惠宝宝圈粉478万

刷着热门微博时
突然,有一条微博引起了我的格外注意
▼▼

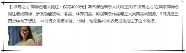
微博中提到 “ 14时提交商标申请。15时,他花费4000多元成功抢注了这个商标 ”,显然商标注册并没有如此简单粗暴方便快捷的,好吧!
为了求证这条信息的精准性和正确性,随即进行了相关信息的检索:
▼▼


而且,该新闻还被新浪新闻、河北新闻网、法制日报、财经网、央广网、腾讯新闻、搜狐等在内的20多家大型媒体平台转载传播。
很显然,这篇报道出现了2个误区:
1、提出申请不等于注册成功
“注册成” 一词就表示商标已经注册成功,但是著名保定音乐人王庆宇是在8月9日14时提交的,15时就注册成功了!这显然是不符合商标注册流程的,商标注册常规情况是13个月左右商标局下发注册书,最快的也要半年左右!
从“知识产权大国”到“知识产权强国”,表面上仅有一字之差,实际上从“大”到“强”要经历艰苦卓绝的质的飞跃。真要成为世界认可的知识产权强国,我们需要付出比发达国家更多的精力和聪明才智,我们需要脚踏实地,一步一个脚印地走,而不是希望通过知识产权抢注等方式走捷径。
路漫漫其修远兮,望与各位共勉!
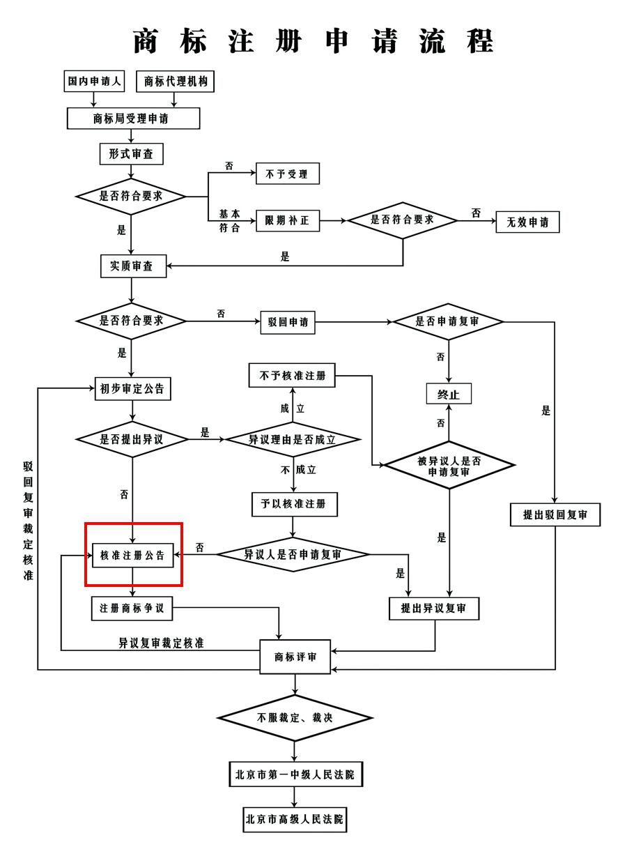
附:商标注册申请流程图:

2、商标确认书不等于商标受理书
上述新闻报道中还上传了代理机构的商标确认书,这难道是要告诉大众这是商标注册成功的凭证吗?
噢,NO! 商标确认书并不能代表该商标已经注册成功,甚至不能代表该商标已经提交了注册申请,只有商标局发放的商标受理书才表示商标局已经受理了该商标的注册申请,也只有商标局下发的注册书才能表示该商标已经注册成功。

上述新闻中还提到一个信息:“他通过一家商标代理公司从国家工商总局查询得知,“洪荒之力”尚未有人注册。”为了验证这句话的真实性,进行搜索,发现了大批洪荒之力。

据小T查询得知,以上14项商标全部都还在商标注册申请受理中,的确是还没有人注册成功,虽然早已有人先行申请注册“洪荒之力”,但是王庆宇注册的“洪荒之力”商标不一定会失败!
商标注册的时候要指定分类,如果商标指定在不同类别下还是可以注册申请的。王庆宇提交的第5,28,41类洪荒之力商标注册申请,以上查询信息中都显示没有注册哟,所以王庆宇申请的“洪荒之力”商标是有极大的机会注册成功!

对于这个没有责任心的知识产权代理有限公司,注册商标居然收了人家4000元,还忽悠人家说已经注册成功了,小T简直想用洪荒之力把他逮过来在好听商标网好好学习一下,看看什么叫做专业!